为什么能啮合不同尺寸的齿轮传动?
发表时间:2019-10-31 网址:https://www.utransm.com/ 编辑:一同传动
客户问题:为什么能啮合不同尺寸的齿轮传动?
一同回答:虽然齿轮与齿轮的分度圆的尺寸不同,但只要齿形相同,就能进行啮合传动。表示齿形相同与否用的是将分度圆直径d(mm)除以齿数z(枚)所得到的值,就是模数。模数(m)与分度圆直径和齿数有m=d/z的关系。

齿轮的尺寸用齿顶圆直径、齿根圆直径、齿厚及齿宽等表示。齿轮与齿轮相互啮合的点称为啮合点,这个点的运动轨迹称为啮合圆。为了使齿轮平稳啮合必须要有适度的齿间隙。

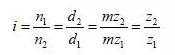
将直径尺寸不同的齿轮组合进行啮合,能够改变传递的旋转速度。设传递运动的主动齿轮与被传递运动的被动齿轮的旋转速度分别为n1和n2、齿数分别为z1和z2、分度圆直径分别为d1和d2,使用模数就能推导出下式所示的传递速度比i的计算式。


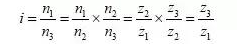
即使啮合齿轮的数量增加,这一关系的计算式也成立(n3 为第三个被动齿轮的旋转速度,z3 为第三个被动齿轮的齿数)。
![]()
这就是说,齿轮传递的速度比是由主动齿轮和被动齿轮的齿数比决定的,而与中间存在的齿轮数量无关。
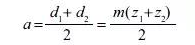
另外,两齿轮轴的中心距离a 可用下式表示。
![]()
为了使齿轮的啮合平稳,需要对轮齿的形状进行更深入的研究,目前在JIS标准中,采用加工方法简单、生产效率高的渐开线来研究标准轮齿的啮合传动。

更多齿轮与齿轮啮合相关说明,可向一同技术免费咨询。广东一同传动-是一家拥有10年+精密齿轮加工定制的品牌厂家,产品型号规格齐全,欢迎选购。
<上一篇:降低齿轮噪音,这两种方法靠谱
>下一篇:斜齿轮加工
CN
EN
广东一同传动有限公司 


























